Kaiyun中国:【机翻修正】通货膨胀与马克思主义再生产理论
本文的主要观点是,通货膨胀是一种本质在于生产领域的“实体现象”。文章以马克思主义再生产图式为参照点,假设经济完全基于商品货币,其中一单位商品货币等同于一单位商品。文章的结构如下:首先,给出通货膨胀的定义,并制定模型假设。在确切确定了消费和投资需求以及总生产(供给侧)之后,文章进而对模型进行代数基础构建,以展示这两种力量的相互作用如何产生通货膨胀。最后,介绍了通货膨胀与经济周期理论的联系、其主要传导机制以及滞胀的起源。
资产阶级通货膨胀理论主要分为两大类:1)需求拉动型和2)成本推动型通货膨胀理论。在需求拉动型理论中,通货膨胀是由正向的需求冲击引起的。相反,在成本推动型理论中,通货膨胀要么是由于增加了生产成本的负向供给冲击,要么是由于企业或工人的市场力量。
需求拉动型通货膨胀理论主要被新古典主义经济学家所采纳,对他们而言,经济会自动趋向于充分就业水平或自然失业率。在新古典经济学中,工资和价格是完全灵活的,货币仅作为流通手段发挥作用,并且在长期内是中性的。因此,在这个框架下,需求刺激往往只会影响价格。
相反,在凯恩斯主义经济学中,需求刺激主要影响产出而非价格,因为市场在大多数时候都偏离均衡。因此,尽管需求拉动型通货膨胀在凯恩斯主义经济学家看来始终是一种可能性,但它相当罕见,只有当当局无限制地增加总需求时才会实现。
凯恩斯并没有否认需求拉动型通货膨胀的可能性。在他的著作《货币论》中,他区分了利润通胀和收入通胀(即今天的需求拉动型和成本推动型通货膨胀),并指出因果关系是从前者流向后者,而非反之。此外,新凯恩斯主义经济学家也研究了可能引发需求拉动型通货膨胀的货币冲击。然而,他们并没有排除由负向供给冲击或各种类型的市场刚性引发成本推动型通货膨胀的可能性。
鉴于凯恩斯主义经济学强调市场的低效和刚性,并关注两个阶级之间的权力关系,它们成为了成本推动型通货膨胀理论发展的肥沃土壤,这些理论主要由后凯恩斯主义者和结构主义经济学家阐述。最具代表性的作品是Moore (1979)、Dalziel (1990) 和 Lavoie (1992) 的著作。
尽管资产阶级通货膨胀理论在某些方面有所不同,但它们具有以下四个共同特征:1)它们将劳动力市场的均衡作为基准,无论是用充分就业还是自然失业率来表示;2)通货膨胀被定义为价格上涨超过纯粹经验性和任意的“正常”价格水平;3)供给侧被等同于产出,而不是生产领域创造的生产价值;4)通货膨胀根源于外生冲击和权力平衡即个人或社会群体之间的权力平衡,而非资本主义体系的平稳运行。
就马克思主义政治经济学而言,也存在相应的传统马克思主义需求拉动型通货膨胀理论、因高工资或垄断导致的传统马克思主义成本推动型通货膨胀理论,以及与需求拉动型通货膨胀过程相似但不完全相同的多余货币路径。
在工资通胀理论中,工人通过工会的压力强行要求高于生产力水平的工资,迫使企业提高价格以应对不断上升的生产成本。这种方法最典型的例子是调节学派的作品,该学派将取消黄金兑换描述为为信用货币完全自主铺平道路的条件,以及积累的社会结构学派的作品,其中通货膨胀是由工人破坏构成资本主义社会凝聚力基础的社会契约引起的。
在垄断通胀理论中,垄断企业应对通货膨胀负责,因为它们的市场力量允许它们大幅提高价格。这些理论主要由每月评论学派发展。其主要观点是,工人阶级的消费不足破坏了垄断企业的盈利能力。因此,为了补偿自己,垄断企业不受控制地提高价格。在这些理论的大多数中,资产阶级国家通过其经济政策支持垄断企业,从而加剧了通货膨胀。
在多余货币路径中,通货膨胀是商品与流通货币或货币资本之间比例失调的结果。在大多数这些程序中,上述错配的出现要么是因为资本家无法生产出与过量流通货币相对应的新商品,要么是因为无法按生产价格出售商品并获得平均利润率。只有当过量的货币被引导到生产要素就业不足的行业时,通货膨胀才可能在第二阶段被消除。否则,通货膨胀将被保留并延续,特别是如果某些非市场制度参与者进行干预并向企业提供额外的金融便利以帮助其抵消损失的话。此外,在多余货币路径中,布雷顿森林体系的崩溃在引发通货膨胀中起到了关键作用;Mandel (1980) 除外。
最后,传统的马克思主义需求拉动型通货膨胀理论与货币主义程序有许多相似之处。通过用正常利润率和正常产能利用率的概念取代充分就业或自然失业率的概念,他们认为供给侧和储蓄完全决定了长期的“正常”增长率。因此,通货膨胀是由于扩张性经济政策刺激了总需求,导致相对于正常增长率而言更高的增长率。
尽管传统的马克思主义通货膨胀理论批判了均衡和充分就业的概念,但它们未能克服资产阶级方法的其他三个弱点。从传统的马克思主义成本推动型通货膨胀理论开始,它们是基于权力关系而非经济必然性和资本主义运动规律的社会学或政治学通货膨胀理论。因此,它们仅在极短的时期内有效,这意味着它们不能构成一般理论。因此,资本家与工人之间的力量平衡只是加强或削弱了通货膨胀。
具体而言,尽管工资通胀理论与当前通货膨胀的经验数据完全不符,因为实际工资多年来一直停滞不前,但它们也存在一些严重的理论问题。首要的是,工资的增加是跟随而非先于必需品价格的上涨。此外,马克思认为,劳动力的价格与其他商品的价格一样,趋向于其价值。因此,即使是工资的过度开云网站上涨也不能持续很久,因为当工人的工资破坏利润和积累率时,资本家通常会降低工资。
垄断通胀理论具有以下矛盾特征:既然垄断企业有能力不受控制地提高其市场价格,为什么它们只在非常特定的情况下选择这样做?具体来说,为什么在最近的经济史中,即仅在盈利能力非常低的时期,它们才选择如此大幅度地提价?
尽管多余货币路径通常不接受货币主义关于通货膨胀由外生因素引起的主要论点,但它将通货膨胀的表现形式等同于其本质。因此,它最终像货币主义者一样,接受了通货膨胀是一种货币现象而非实体现象的观点。即使强烈且持续的通货膨胀通常与相对于商品的流通货币过剩共存,但这并不一定意味着后者是前者的原因。因此,根据这些理论,通货膨胀是由货币领域相对于生产领域的迅速扩张引发的。与此相反,在本文中,通货膨胀被视为资本循环内在的过度膨胀倾向超越其限度的结果,这仅仅采取了货币形式。
此外,这些方法的一些观点是相互矛盾的,另一些则缺乏清晰度。即使Fine 的论点即通货膨胀是由于货币资本过剩是正确的,也没有理由认为前者与商品之间会出现错配,鉴于货币已经转化为货币资本,即如果它已经购买了生产资料和劳动力。另一方面,如果这种错配真的是由实现问题引起的,那么多余货币路径将转化为消费不足理论,这更有可能导致通货紧缩而非通货膨胀。此外,多余货币路径缺乏具体的通货膨胀传导机制。即使货币或货币资本相对于商品过剩,这又如何以及为何会引发通货膨胀呢?
最后,在传统马克思主义的需求拉动型通货膨胀理论中,后者主要被视为扩张性经济政策的结果,即一种暂时的“异常”,迫使资本主义体系偏离其原本在长期内趋向“正常”增长率的平稳路径。因此,即使这些理论拒绝充分就业的概念或自然失业率的概念,它们与货币主义仍有许多共同之处,即通货膨胀的原因位于循环本身之外。
一个全面且新的马克思主义通货膨胀一般理论应该克服资产阶级方法的所有弱点,而不仅仅是它们对均衡概念的信仰。具体而言,它应该:
1) 基于劳动价值论(LTV)给出通货膨胀的清晰定义。通货膨胀不应简单地被视为商品市场价格模糊地上涨超过任意“正常”价格水平的过程。相反,它们应该以商品的价值作为其“锚点Kaiyun官方入口”。
2) 通过区分总需求的两个主要组成部分(对生产资料的需求与对消费资料的需求),将阶级斗争的要素引入通货膨胀分析。因此,通货膨胀不仅仅是正向需求冲击的结果(这种冲击甚至可能由工人的过度消费引起),而是由于系统性的资本过度积累,特别是由于资本家对生产资料的过度需求。除了其阶级标志外,这一要素还可以将通货膨胀解释为一种纯粹的内生现象,鉴于资本主义在长期内会自动趋向于资本的过度积累。
3) 根据劳动价值论,通过运用商品库存理论重新确定供给侧。根据主要的产出决定理论,供给侧仅包含资本家以直接销售为目的立即投入市场的商品,而不包括库存。然而,资本家在每个周期中有意识地生产大量商品库存,以便能够应对对其商品需求的不可预测变化。这些库存在通货膨胀理论中扮演重要角色,其中的一部分构成了每个周期供给侧的一小部分,而不仅仅是在紧急情况下。毕竟,如果是后者的情况,通货膨胀只会在商品完全匮乏的条件下出现。
只有在劳动价值论的理论框架内,通货膨胀的清晰定义才是可行的。否则,确定作为市场价格重心客观价格是非常困难的。因此,本文建议基于马克思关于市场价格与生产价格的区别来定义通货膨胀。
通货膨胀是指在经济中,市场价格总额在相当长的一段时期内显著超过生产价格总额的现象。
根据马克思的观点,当总需求等于总供给时,市场价格等于生产价格。由此可见,当需求在相当长的一段时期内超过供给时,市场价格就会超过生产价格。因此,有必要定义总需求和商品的总生产(供给侧)。然而,在进行这些定义之前,应先划定本文的基本假设。
出于简单性和实质性的原因,可以将奢侈品排除在通货膨胀分析之外,鉴于它们只构成了消费者价格指数(CPI)的很小一部分。然而,为了使分析更加直观,本文将在某些地方提及它们。
在这个分析层面上抽象掉其他形式的货币,目的是为了隔离并仅研究通货膨胀的“实体”原因。
正如我们在下文中将要分析的,在我们模型的第一部分,即通货膨胀源于两个部类之间的不平衡发展时,假设劳动生产率是恒定的。然而,在我们模型的第二部分,即通货膨胀由于利润率下降趋势引起时,劳动生产率可能会变化,这主要是由于资本有机构成提高规律的结果。
假设资本以恒定的速度折旧。商品折旧率越大,它们变得无用的速度就越快,因此,在需求过剩的情况下,通货膨胀就越大。
为了简单的原因,我们将一个正常的基钦周期作为我们的时间参考点。然而,应该注意的是,并不存在绝对的时间限制。
因此,通货膨胀可能由过度投资(对生产资料和原材料的过度需求)、过度消费(对消费资料的过度需求)或两者共同引起。然而,我们将证明,持续的通货膨胀是由于过度投资引起的。
总生产,或每个周期生产的价值总和,反映了生产价格对市场价格设定的限制,其定义如下:
资本家在每个周期中有意识地生产一些库存,除了用于在市场上直接销售的产品外,原因有几个,例如客户对其商品的确切需求水平的不确定性。具体来说,企业在每个周期保留两类库存。第一类是初级库存,由资本家对商品平均需求的估计决定。第二类是次级库存或安全库存,由公司持有以覆盖可能出现的超过平均水平的过度需求。
即使次级库存也在周期开始时生产,它们并不构成总生产的一部分,因为它们通常仅在紧急情况下才进入流通。相反,初级库存是总生产的一部分,因为资本家保留它们是为了处理与流通本身相关的轻微低效,例如供应商订单到达的延迟。因此,即使这两类库存的共同点是它们都帮助资本家应对不确定性,它们的区别在于它们对应于两种不同类型的不确定性。
在经济衰退期,当资本家生产较少且面临较低的生产成本时,他们通常会将一部分次级库存加入其P(t)中以进一步降低成本。然而,在繁荣时期,需求迅速增加,以及在盈利能力较低的时期,生产以非常缓慢的速度增加时,资本家无法这样做,因为需求倾向于超过生产并对次级库存施加压力。
初级库存和次级库存都可以由资本家存放在相同的设施中。然而,如果他们将安全库存存放在不同的仓储设施中,尤其对于大公司来说,这并不奇怪。最优库存管理技术对企业的重要性反映在近年来物流和运营管理的迅速增长中。最后,商品库存的内部分类可能不太适用于商品折旧率较低的部门。然而,即使在这些部门,商品流通的限制也由总生产决定。
未售出的初级库存将在周期结束时加到次级库存的数量中。因此,在存量-流量一致模型中,初级库存是流量,而安全库存是存量。此外,如果次级库存已经从过去周期的初级库存中增加得足够多,资本家在新周期开始时甚至可能完全不生产新的安全库存。
既然总投资和消费需求以及总生产已经定义,就可以考察商品流通的限制。如果新的生产周期始于t = 0,且两个部门在其物流设施中都已经存在次级商品库存,商品流通的限制如下:
1)通货膨胀:如果投资和消费需求超过总生产,市场价格将飙升至生产价格之上,次级库存将减少:

2)价格稳定:如果投资和消费需求大于(或等于)直接销售的生产且小于(或等于)总生产,市场价格将不会改变。具体来说,如果投资和消费需求介于直接销售的生产和总生产之间,次级库存将以不给经济造成通胀压力的速度增加。如果投资和消费需求达到无通胀的最低点,即投资和消费需求等于直接销售的生产,初级库存的总和将保持未售出状态,并在周期结束时成为次级库存。因此,次级库存的上限是已生产的初级库存的总和。最后,如果投资和消费需求达到无通胀的最高点,即投资和消费需求等于总生产,所有的初级库存将被售出。

3)去通胀:如果投资和消费需求低于直接销售的生产,市场价格将降至生产价格之下。具体来说,P(t)的一部分将在当前周期被储存,并且它也将成为次级库存的一部分。因此,次级库存将增加到超过其最大水平,即初级库存的总和,也就是它们将增加初级库存的总和加上某个正数。

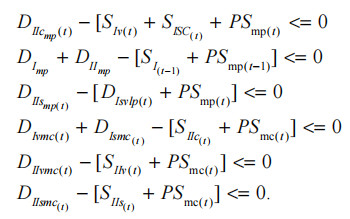
为简单起见,我们假设马克思主义再生产图式中的总产出或供给(Smp= 6.000 和 Smc = 3.000)与术语“用于直接销售的生产”完全相同。因此,总生产是马克思主义再生产图式中的总产出与初级库存(PSmp(t) 和 PSmc(t))之和。在此框架下,零需求拉动型通货膨胀的系统扩大再生产条件如下:

如果前三个不等式中至少有一个为正,经济将面临对生产资料的过度需求,即第一部类的需求拉动型通货膨胀;而如果其余不等式中至少有一个为正,经济将面临对消费资料的过度需求,即第二部类的需求拉动型通货膨胀。为简单起见,假设生产周期在两个部门同时开始。

由于第一部类过度投资导致的对生产资料的过度需求可能出现在生产过程开始之前(假设raI和 raII 恒定),通过第一部类相对于过去周期已经生产的生产资料总生产预付了过量的货币资本(DImp 在第二个不等式中增加),或者出现在生产过程完成之后,由于 raI 的显著增加导致第一部类对生产资料的过度需求(SIsc(t) 在第一个不等式中减少)。在第一种情况下,至少一部分过度需求必须由循环外的额外外部资金来源提供资金。
然而,结果在两种情况下都是相同的。需求拉动型通货膨胀将是暂时的,因为当前周期对生产资料的过度需求将在下一个周期被其过度生产所取代。这将会发生,因为第一部类的过剩产品将不会被第二部类的需求吸收,因为raII将保持不变。因此,第一部类将被迫储存一定数量的 P(t),这意味着其次级库存将增加到上限以上。因此,由于第一部类甚至无法出售其 P(t),它将理智地减少下一个周期对生产资料的需求以避免进一步的损失。
由于第二部类过度投资导致的对生产资料的过度需求(假设raI恒定)可能出现在生产过程开始之前,由于第二部类相对于过去周期已经生产的生产资料总生产预付了过量的货币资本(DIImp 在第二个不等式中增加,而 raII 保持不变),或者出现在生产过程完成之后。
后者意味着要么DIIcmp(t)相对于当前周期已经生产的生产资料总生产来说太大,要么 raII 将显著增加。应该注意的是,只有在最后一种子情况中,过度需求可以由自有资本提供资金,而不是由循环外的额外外部资金来源提供资金。此外,DIImp 和 DIIcmp(t) 增加的唯一区别在于,在第一种情况下,通货膨胀将出现在当前周期而不是未来周期。
在任何一种情况下,如果第二部类对生产资料的过度需求持续存在,第一部类的通货膨胀将是持续的。然而,这也将导致第二部类商品的过度生产。因此,只有当对其过剩消费资料有令人满意的需求水平时,第二部类才会继续其过度积累。
因此,持续的通货膨胀取决于第二部类过度积累的持续时间,这基于资本家和工人对其过剩奢侈品/必需品的吸收。这种吸收很有可能实现,鉴于第二部类的大多数商品是必需品,而且工人对必需品的需求通常缺乏弹性。
当对生产资料的过度需求源于raII的变化时,该情况将不做详细分析,因为其结论是相同的。简而言之,这种情况适用于:

因此,(在raI恒定的情况下)如果第二部类资本家投资于生产资料的剩余价值部分超过了第一部类资本家用于购买劳动力加上生产资料初级库存的剩余价值部分,第一部类将出现通货膨胀。

这里也有两种子情况。过度消费要么源于工人,要么源于资本家。这里暂时取消奢侈品不导致通货膨胀的假设。
如果过度消费源于工人,这要求他们的工资在相当长开云网站的一段时期内超过其劳动力价值。如果工人用他们较高的工资购买奢侈品/必需品,将出现奢侈品/必需品的通货膨胀,而必需品/奢侈品的价格不受影响。
然而,劳动力的价格,以及资本主义中其他所有商品的价格,不能长期偏离其价值。具体来说,当上涨的工资开始显著影响积累率时,资本家将降低工资,直到它们回到初始水平。因此,由工人对奢侈品或必需品的过度消费引起的通货膨胀将是暂时的。
此外,这种类型的通货膨胀也可能在资本家降低工人工资之前,通过第二部类中奢侈品和必需品相对价格的变化而被消除。例如,如果必需品价格上涨,奢侈品价格将相对较低。因此,资本将从第二部类的奢侈品子部门转移到必需品子部门,直到初始变动被消除。
至于资本家的过度消费,如果不同时伴随投资的相应增加,这也是不能持久的,因为资本家主要是投资而非消费。因此,如果他们不持续预付更大量的资本,他们很可能无法在残酷的资本主义竞争中生存。因此,如果奢侈品价格迅速上涨,资本家可能会选择减少奢侈品消费,而不是提高其商品价格。即使第二部类子部门之间的资本转移没有发生,上述所有内容仍然适用。因此,由资本家过度消费引起的通货膨胀也将是暂时的。
因此,从上述分析来看,没有必要通过再生产图式对过度消费进行详细的代数解释。
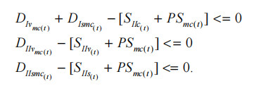
如果在循环开始之前TRPF 对两个部类都有显著影响,扩大再生产图式的代数形式将会改变。由于 TRPF,两个部类的 OCC 都会上升。为简单起见,我们假设两个部类的 OCC 上升 50%,而价值总额和 RSV 保持不变。即使 RSV 上升,这也只会给我们的模型增加进一步的复杂性。因此,在 t = 1 时:
在这种新形式的扩大再生产图式中,不等式DIIcmp(t) [SIv(t) + SIscmp(t)] 0 将自动成立。因此,如果我们将生产资料的初级库存纳入上述不等式,通货膨胀将会出现:

与由第二部类对生产资料的过度需求引起的通货膨胀相反,这类通货膨胀是由于生产资料的相对低产量,这源于OCC 上升规律的影响。在第一种情况下,市场价格相对于生产价格增长非常快,而在第二种情况下,生产价格相对于市场价格增长非常慢。最后,我们重申,通货膨胀要求生产资料和必需品的市场价格都必须上涨。
到目前为止,本文只展示了通货膨胀如何在第一部类产生。然而,鉴于只有当必需品价格也上涨时通货膨胀才会变得普遍,因此需要一个从第一部类到第二部类的通货膨胀传导机制来完善模型。建议的解释如下:
1) 首先,假设生产过程已经在两个部门发生。在此过程之后立即,在 t = 0 时,第一部类的资本家设定其商品的初始市场价格。为简单起见,我们假设他们的市场价格始终等于生产价格。
2) 商品在市场上出现,需求开始影响其市场价格。因此,在这个阶段,市场价格的一些变化可能已经发生,以使其调整到实际需求水平。
3) 在零通货膨胀条件下,当对生产资料的实际需求不超过其总生产时,第一部类商品的市场价格保持等于生产价格。
4) 如果对生产资料的需求超过了其总生产,这种过度需求将仅导致第一部类未售出次级库存的市场价格上涨超过其生产价格。在这一点上,值得注意的是,价值的实现需要时间。这就是为什么起初只有次级库存的市场价格在第一部类上涨,而不是所有商品的价格瞬间上涨。
5) 因此,由于只有次级库存的市场价格在第一部类高于其生产价格,通货膨胀不会立即传导到第二部类。起初,通货膨胀只会影响那些已经使用了第一部类最昂贵的次级库存作为投入的消费资料的价格。
6) 然而,在下一个周期开始时,第一部类的资本家将提高生产资料的初始市场价格,以应对过去周期的过度需求,特别是如果 t = 0 时对其次级库存的需求很大。因此,第一部类的资本家将从一开始就将其产品的每一新单位的市场价格设定在生产价格之上。结果,第一部类的市场价格总和将超过生产价格总和。因此,市场价格超过生产价格的上涨将在整个第一部类蔓延。
7) 因此,由于所有第二部类的资本家都将面临更高的生产成本,他们也将提高其市场价格,但这与其不断上升的成本价格和生产价格相对应。
8) 随着两个部类的商品市场价格都上涨,通货膨胀将在整个经济中蔓延。第一部类的需求拉动型通货膨胀将在第二部类采取成本推动型通货膨胀的形式,并且市场价格总和总体上将超过生产价格总和,即使只有第一部类的市场价格超过了其生产价格。
与通货膨胀相反,去通胀现象通常持续时间较短,强度较低,解释也较简单。通货膨胀为两个部类的资本家创造了超额利润,而去通胀的作用正好相反。因此,资本家几乎立即通过削减生产来应对通货紧缩。基于这个原因,去通胀的情况将不会进行代数研究。
显著的通货膨胀现象必须既持久又强烈。例如,由于对次级库存的相对较小的过度需求导致的低强度持续通货膨胀是爬行式通货膨胀(crawling inflation),这对经济不一定有害。相应地,由垄断、需求的正向冲击或高工资等外生因素引起的奔腾式通货膨胀(galloping inflation),即使强度很大,也只是暂时的,因此并不显著。
因此,显著的通货膨胀必须与第一部类次级库存的显著且持久的过度需求共存,尽管生产资料的市场价格在不断上涨。一般通货膨胀只有在没有商品过度需求时才为零。即使通货膨胀停止,市场价格仍将在一段时间内保持在生产价格之上。这只能通过随后的去通胀来逆转。
因此,市场价格的增长率,即通货膨胀的强度,由以下差值给出:生产资料次级库存数量- 生产资料次级库存需求。
上述差值越小,第一部类的通货膨胀以及一般通货膨胀就越强。只有当上述差值对整个部类来说足够小时,通货膨胀才会在整个第一部类蔓延。如果情况并非如此,通货膨胀可能只是爬行式的,或者仅涉及某些孤立的商品。另一方面,第二部类的成本推动型通货膨胀并不一定意味着其次级库存会减少,因为必需品初始市场价格的上涨是由每单位产出成本的增加引起的,而不是由对它们的过度需求引起的。
然而,到此为止,出现了以下问题:为什么资本家不按照其过度需求的比例增加第一部类的总生产以消除通货膨胀?答案是通货膨胀对两个部类的资本家都有利。一方面,由于其商品市场价格的上涨,第一部类的资本家将获得高于平均水平的利润率。
另一方面,鉴于对必需品的需求缺乏弹性,第二部类的资本家可能会在通货膨胀时期进一步提高其市场价格至生产价格之上,因为他们很容易将此归咎于其较高的生产成本。然而,最坏的情况是,第二部类的资本家将仅保持其市场价格与生产价格相对应的高位,因为如果不这样做,他们将遭受损失。
综上所述,有两种类型的通货膨胀:1)由两个部类间不平衡发展引起的通货膨胀,2)由 TRPF 引起的通货膨胀。第一类通货膨胀更有可能发生在经济周期的高级繁荣阶段,此时对生产资料的需求以疯狂的速度增长,而初级库存的增长越来越慢。后者适用是因为随着总生产增加以满足不断增长的需求,生产成本急剧上升。因此,对于资本家来说,生产初级库存(即主要目的不是立即在市场上销售的商品)变得更加昂贵。
第二类通货膨胀更有可能出现在周期的危机后阶段。通常在危机后,一般利润率尚未令人满意地恢复。由于这个原因,第一部类的总生产在这个阶段的每个新周期中几乎不会增加,因为其剩余价值增长非常缓慢。因此,TRPF 通货膨胀主要是由第一部类的生产不足引起的,而不是由第二部类的过度投资引起的。在这种经济增长疲软的情况下,即使是温和的资本积累对生产资料和原材料的温和需求也可能超过总生产的限制。在危机期间,更有可能发生通货紧缩而非通货膨胀,因为即使利润率和商品总生产很低,由于投资和消费支出的急剧下降,支出也非常低。
至于通货紧缩,似乎在两种情况下市场价格可能会大幅下跌。第一种情况主要涉及危机,此时经济中的支出水平非常低。具体来说,当经济处于危机中时,商品需求的减少可能会超过其总生产的减少。上述情况主要是短期现象,因为它与周期的特定阶段有关。
第二种情况表现为长期趋势,是由单位产品总生产价格下降趋势引起的,这归因于OCC 的持续增加。在这种情况下,市场价格下跌并不是需求相对于总生产非常低的结果,而是由于劳动平均生产率提高导致单位生产价格持续下降的结果。因此,市场价格跟随其重心的下降趋势,即生产价格的下降趋势。最后,与第一种情况相反,这种情况对应于长期趋势,因为在资本主义竞争下,商品在长期内变得更便宜而非更贵。通过这一过程,资本家寻求降低单位成本以销售更多产品并变得更具竞争力。
滞胀是通货膨胀与经济衰退并存。一方面,滞胀意味着商品需求不能被忽视。另一方面,商品需求必须低到足以引发衰退或危机。这个悖论可以不同地表述如下:当理论上商品总需求触底时,等同于商品过度需求的通货膨胀如何能与衰退共存?
这个“悖论”只能通过马克思主义政治经济学的辩证逻辑来解决,而绝不能通过菲利普斯曲线和经济学的典型逻辑来解决。前者正确地将系统的内在矛盾视为其结构的基本要素而非悖论,而后者则不接受现实世界中甚至存在这种矛盾。因此,根据马克思主义政治经济学,对滞胀的一种可能解释如下:
正如已经证明的,当第一部类的利润率较低时,该系统生产的总价值也较低。在这种情况下,即使商品需求的微小增加也足以超过其总生产,正是因为后者极低。然而,即使需求超过了总生产,它也无法引发令人满意的经济增长率。例如,如果商品总生产增长0.1%,而需求增长 0.3%,通货膨胀和衰退将共存,因为 0.3% 大于 0.1%,但同时 0.3% 不足以引起可持续增长。
通货膨胀也可能与危机共存。似乎1970年代的情况正是如此。这里的主要区别在于,总需求和总生产都在下降而不是缓慢增长。因此,需求相对于生产并没有增长得更快,而是以较小的负向速度下降。因此,如果由于 TRPF 导致生产资料生产的减少非常大,那么即使需求大幅下降,它仍可能不会低于前者。例如,如果总生产下降 5%,而需求下降 4%,那么肯定会出现由 -4% 的增长率引起的危机以及通货膨胀,因为 -4% 大于 -5%。
总之,第一部类的利润率越低,经济中出现普遍通货膨胀的可能性就越大,即使生产资料需求略微为正(滞胀中)或为负(危机中)。
尽管传统的马克思主义通货膨胀理论批评了经济学关于通货膨胀与劳动力市场均衡相关的基本论点,但它们未能用全面的马克思主义方法取代资产阶级理论。在试图解释通货膨胀的主要原因时,马克思主义经济学家关注外生冲击和两个阶级之间的权力关系,或主要重视流通领域。本文提出了一种替代的和新的马克思主义通货膨胀方法,根据该方法,通货膨胀源于资本主义体系非常平稳的运行,并且它是一种始于资本循环的实体现象。
本文的核心论点是,当生产资料的需求在相当长的一段时期内显著超过其生产时,就会出现强烈且持续的通货膨胀现象(即总市场价格上涨超过总生产价格)。这要么是由于周期繁荣阶段第二部类的资本过度积累,要么是由于停滞或危机时期第一部类利润率下降的趋势。在这两种情况下,一般通货膨胀都始于第一部类的需求拉动型通货膨胀,然后蔓延到第二部类,采取成本推动型通货膨胀的形式。
过度消费不能成为显著且持续通货膨胀的主要原因,因为这预设了工人在相当长的一段时期内获得的报酬高于其劳动力价值,或者资本家倾向于过度消费奢侈品而不是过度积累资本。鉴于当工资开始显著影响积累率时就会下降,以及资本家只有通过不断预付更大量的资本才能在竞争中生存,这两种假设都是不现实的。此外,传统的马克思主义成本推动型通货膨胀理论主要是政治和社会学方法。从这个意义上说,它们只能解释一般价格水平的暂时性上涨,而不能解释持续性上涨。
总之,当资本家希望在第一部类进行超出其内部限制的过度交易量时,会出现以下错配:该部类的价值索取权开始比价值本身增长得快得多。如果这种错配加剧,最终将转化为矛盾。通货膨胀不过是这种矛盾的形式,这对资本主义体系来说是内生的,因为后者具有过度扩张超越其上限的内在倾向,特别是超越了由生产领域设定的限制,而生产领域是流通和分配领域所有其他索取权的主要来源。
